- 8-08-2022, 09:38
- 2 730
Определение критической массы горючего материала для помещения очага пожара до наступления ОФП по Приложению А СП 11.13130.2009
Приложение А
(рекомендуемое)
ИНТЕГРАЛЬНАЯ МЕТОДИКА
ОПРЕДЕЛЕНИЯ НЕОБХОДИМОГО ВРЕМЕНИ ЭВАКУАЦИИ ЛЮДЕЙ
ИЗ ПОМЕЩЕНИЯ ПРИ ПОЖАРЕ
А.1. Введение
Необходимое время эвакуации людей определяется по времени, при котором значения опасных факторов пожара (повышенной температуры среды, дальности видимости в дыму, повышенных концентраций токсичных продуктов горения и пониженной концентрации кислорода) на высоте верхнего уровня рабочей зоны достигают критических для жизни людей (или их ориентации в пространстве) величин.
А.2. Последовательность расчета необходимого времени эвакуации людей из помещения при пожаре
Расчет необходимого времени эвакуации людей из помещения при пожаре производится в следующем порядке:
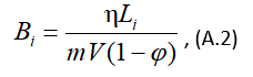
А.2.1. Рассчитывают отношение тепла, которое может выделиться при сгорании 1 кг горючего материала, к теплосодержанию воздуха в помещении до пожара m (1/кг):

где - коэффициент полноты горения;
- низшая рабочая теплота сгорания горючего материала, Дж/кг;
- изобарная среднеобъемная теплоемкость газов в помещении до пожара, Дж/(кг·K);
- среднеобъемная плотность газов в помещении до пожара, кг/м3;
V - свободный объем помещения, м3;
- среднеобъемная температура среды в помещении до пожара, K.
А.2.2. Определяют комплекс (кг/м3) для каждого i-ого газа:

где - масса i-ого газа, выделяющегося (поглощающегося) при сгорании единицы массы горючего материала (положительное число для токсичных продуктов горения и отрицательное для кислорода), кг/кг;
- безразмерный коэффициент потерь тепла на нагрев ограждающих конструкций помещения.
А.2.3. Определяют комплекс для случая потери видимости в дыму:

где - предельная дальность видимости в дыму, м;
D - дымообразующая способность горящего материала, (Нп·м2/кг).
А.2.4. Вычисляют для каждой рабочей зоны безразмерный параметр высоты верхнего уровня рабочей зоны размещения людей в помещении:
где Z - безразмерный параметр неравномерности распределения опасных факторов пожара по высоте помещения;
h - высота отметки (размещения площадки), на которой находятся люди в помещении, м;
H - высота помещения, м;
1,7 - высота рабочей зоны (средний рост человека), м;
- разность отметок пола в помещении, равная нулю при горизонтальном его расположении, м.
А.2.5. Оценивают безразмерные показатели опасности температуры (), потери видимости в дыму () и токсичных продуктов горения или кислорода () для критических значений соответствующих опасных факторов пожара:
где - безразмерный показатель опасности температуры;
- безразмерный показатель опасности для i-ого газа;
- безразмерный показатель опасности для случая потери видимости в дыму;
- среднеобъемная концентрация i-ого газа в помещении до пожара, кг/м3;
- критическая концентрация i-ого газа для жизни человека, кг/м3;
- критическая для жизни людей температура среды в помещении при пожаре, K;
- коэффициент отражения поверхностей (предметов) на путях эвакуации;
E - начальная освещенность поверхностей в помещении, лк.
А.2.6. Рассчитывают интегральные показатели опасности температуры (), токсичных продуктов горения или кислорода () и потери видимости в дыму () по формулам:
Отрицательное значение интегрального показателя опасности температуры, потери видимости в дыму, токсичных продуктов горения или кислорода означает, что данный опасный фактор пожара при данном варианте пожара не представляет опасности для жизни людей и в дальнейших расчетах не учитывается.
А.2.7. Устанавливают ведущий (появляющийся раньше других) опасный фактор пожара для людей:

А.2.8. Рассчитывают критическую массу горючего материала (кг) для анализируемого помещения:

А.2.9. Найденное значение сравнивают со всей массой горючей нагрузки в помещении , которая может быть охвачена пламенем при данной схеме развития пожара. Если выполняется условие

то рассматриваемая схема для людей, находящихся на заданном, а также нижележащих уровнях по высоте помещения, не опасна и для этих уровней далее не учитывается.
Если условие (А.13) не выполняется, то данный вариант развития пожара представляет опасность для людей и расчет следует продолжить, используя полученное значение критической массы горючей нагрузки (ГН).
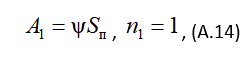
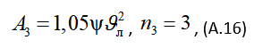
А.2.10. Для каждого из возможных вариантов развития пожара в помещении определяют параметры A и n. При наличии в помещении нескольких видов ГН и (или) нескольких возможных способов ее размещения следует определить соответствующее количество вариантов (расчетных схем) развития пожара и присвоить им индексы - порядковые номера. Каждый j-й вариант характеризуется двумя параметрами и , которые определяются по формулам:
А.2.10.1. Для случая стационарного горения легковоспламеняющихся жидкостей (ЛВЖ) или горючих жидкостей (ГЖ) на постоянной площади (оборудованной средствами, предотвращающими растекание жидкости):

где - удельная массовая скорость выгорания, кг/(м2·с);
- площадь пожара, м2.
А.2.10.2. Для случая горения свободно растекающихся ЛВЖ и ГЖ:

где g - расход вытекающей жидкости, м3/с;
- толщина слоя растекающейся жидкости, м.
А.2.10.3. Для случая кругового распространения пламени по равномерно распределенным на площади твердым веществам и материалам, когда время охвата пламенем любой из ее сторон превышает 60 с:
а) при наклоне поверхности ГН к плоскости горизонта не более 30° (например, покрытие пола или ряды кресел на нем):

где - средняя скорость распространения пламени по ГН, м/с;
б) при наклоне поверхности ГН к плоскости горизонта более 30° (например, одиночный занавес или облицовочное покрытие стены):

где , - скорости распространения пламени по ГН вверх и в горизонтальном направлении соответственно, м/с.
А.2.10.4. Для случая горения горизонтальной полосы твердых горючих материалов:

где k - число направлений распространения пламени на полосе твердых горючих материалов;
a - ширина горящей полосы твердых горючих материалов, м.
А.2.10.5. Для случая горения твердых веществ и материалов в виде пакета параллельных вертикальных поверхностей (например, декорации, ткани на вешалках):

А.2.11. Рассчитывают критическую продолжительность пожара для всех не исключенных из рассмотрения вариантов развития пожара (с):

где j = 1, 2, 3, 4, 5 - порядковые номера (индексы) опасных вариантов (схем) развития пожара.
А.2.12. Устанавливают наиболее опасный вариант развития пожара для рассматриваемого уровня расположения людей и определяют для него критическую продолжительность пожара:

А.2.13. Определяют необходимое время эвакуации людей из помещения при пожаре (с):

А.3. Исходные данные для расчета
Точность определения необходимого времени эвакуации людей по предлагаемой методике во многом зависит от объективности выбора исходных данных, входящих в расчетные зависимости.
Конструктивно-планировочное решение и функциональное назначение помещения определяют:
- свободный объем помещения V (в затруднительных случаях допускается принимать свободный объем равным 0,8 геометрического);
- высоту помещения H (если потолок помещения не плоский, высота определяется как отношение геометрического объема к площади пола);
- высоту каждого уровня расположения людей h;
- возможные варианты развития пожара, а также материал ГН, способ ее размещения и фактическую массу для каждого варианта;
- начальную температуру воздуха в помещении (определяется по нормативным документам или результатам конкретных измерений, а в затруднительных случаях принимается K);
- коэффициент отражения предметов на путях эвакуации ;
- начальную освещенность поверхностей в помещении E, лк.
Необходимые для расчета характеристики ГН (удельная скорость выгорания , скорости распространения пламени , , , низшая теплота сгорания , коэффициент полноты горения , состав токсичных продуктов горения и удельное выделение каждого из них дымообразующая способность горючего материала D) определяются по данным пожарно-технической литературы или в результате экспериментов. Если ГН представляет собой композицию различных материалов, допускается расчет необходимых показателей пожарной опасности ГН по соответствующим характеристикам этих материалов с учетом их процентного содержания в композиции. При отсутствии данных об удельном выделении одного или нескольких токсичных продуктов сгорания ГН соответствующие ОФП допускается не учитывать. При отсутствии данных о теплоте сгорания материалов, коэффициенте отражения предметов на путях эвакуации и начальной освещенности в помещении допускается принимать МДж/кг, и E = 50 лк. Критическую для жизни людей температуру среды в помещении при пожаре принимают равной K.
Критические концентрации токсичных продуктов горения принимаются по литературным данным для условий одноразового воздействия на эвакуирующихся в течение нескольких минут при средних физических нагрузках и по критерию сохранения ими способности реально оценивать окружающую обстановку, уверенно принимать и выполнять соответствующие решения. Для наиболее распространенных продуктов горения критические концентрации газов равны: окись углерода кг/м3; двуокись углерода кг/м3; хлористый водород кг/м3; цианистый водород кг/м3; фосген кг/м3; окислы азота кг/м3; сероводород кг/м3. Предельная концентрация кислорода кг/м3. При отсутствии данных о критических концентрациях других токсичных продуктов соответствующие опасные факторы пожара допускается не учитывать.














-
Поделиться:
- Подписаться









